首页
>
交易信息
>
小微项目
>
中标候选人公示
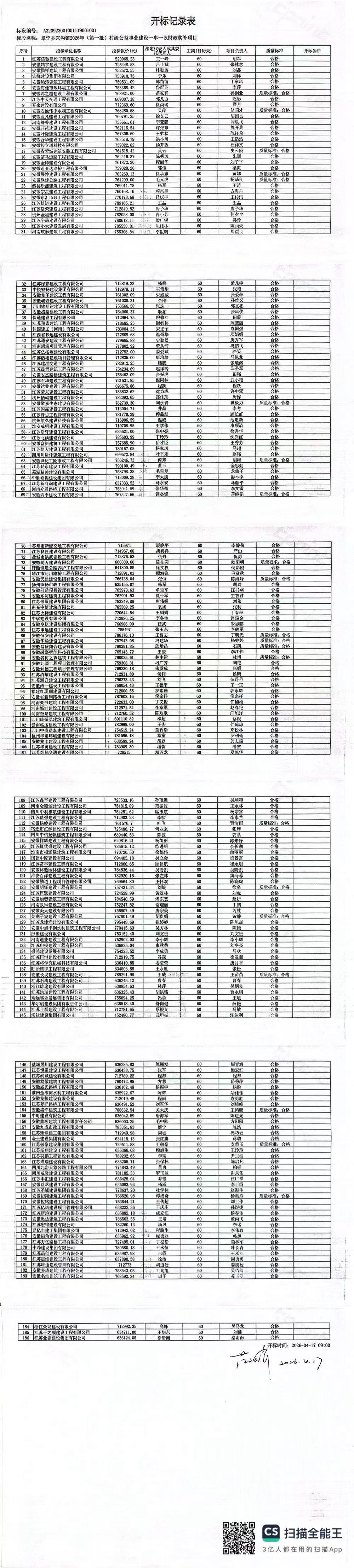
阜宁县东沟镇2026年(第一批)村级公益事业建设一事一议财政奖补项目中标候选人公示
【信息来源:】
【信息时间:2026-04-21 阅读次数:
】
【字号
大
中
小
】
分享到